THE DIFFERENTIATOR
Wireless EEG. Real-World Brain Measurement.
From Signal to Insight.
Emotiv's scientific foundation supports neuroscience research, brain-computer interface development, cognitive performance analysis, adaptive software, and next-generation brain-aware applications.
What EEG Measures
Emotiv combines non-invasive EEG, signal processing, machine learning, and developer-ready software to turn brain activity into usable insight. This scientific foundation supports neuroscience research, brain-computer interface development, cognitive performance analysis, adaptive software, and next-generation brain-aware applications.
Why Brain Measurement Design Matters
The value of EEG depends on more than signal quality alone. It also depends on how brain activity is measured, where signals are captured, and whether the form factor fits the context of use.
Some applications benefit from broader spatial coverage across multiple brain regions. Others depend on comfort, speed, and the ability to collect brain data in natural settings with minimal friction. Different use cases call for different tradeoffs across coverage, wearability, ease of use, set up time, and real-world fit.
Spatial Resolution - Whole-Brain Sensing
The brain is a very complex system. The frontal cortex, the region where most of your conscious thoughts and decisions are made, conducts much less than a tenth of the total activity in the brain.
Planning, modeling of your surroundings, interpretation of sensory inputs up to and including your perception of reality, memory processing and storage and the basic drivers of your moods and emotions occur in many functional regions distributed around the brain, including the visual cortex at the rear, temporal cortex at the sides, parietal cortex behind the crown of your head and the limbic system deep inside the brain. The limbic system controls your basic moods and emotions, your fight/flight response and deeper long term memory encoding as well as control of basic bodily functions such as breathing and heartbeat.
Most of these deeper functions interact intimately with different parts of the cortex (the outer layer which is accessible to EEG measurements) however the interaction is quite complex and distributed. In order to map the true activity of the brain, it is very important to measure signals from many different cortical structures located all around the brain surface. It is not possible to map these signals purely from the frontal and temporal regions. Determination of the user’s complete mental state is very poorly approximated unless signals from the rear of the brain are also considered.
With proper coverage and electrode configuration, it is possible to reconstruct a source model of all important brain regions and to see their interplay. Alternative systems missing these critical signals will tell less than half of the story. Generally they are restricted to determining level of consciousness, the amount and intensity of processing and (in some cases) the left/right hemispheric imbalance in frontal signals. While these are useful in some contexts, they provide a very limited and inaccurate view of the user’s state of mind.
From Research-Grade EEG to Everyday Brain Sensing
Emotiv’s approach spans a broad spectrum of wearable EEG form factors, from premium research systems to consumer-friendly brainwear.
This range matters because different measurement goals involve different requirements. Multi-channel systems can provide broader brain coverage and a more detailed view of distributed neural activity. Lighter wearable form factors can reduce friction, expand when and where data is collected, and make non-invasive brain measurement more practical in everyday environments.
Rather than forcing a choice between research depth and everyday usability, Emotiv supports both within one technology ecosystem.

Backed by Science
Emotiv technology has been used across a large and growing body of scientific and applied research. Our systems support work in neuroscience, human-computer interaction, cognitive performance, accessibility, and brain-computer interface development.
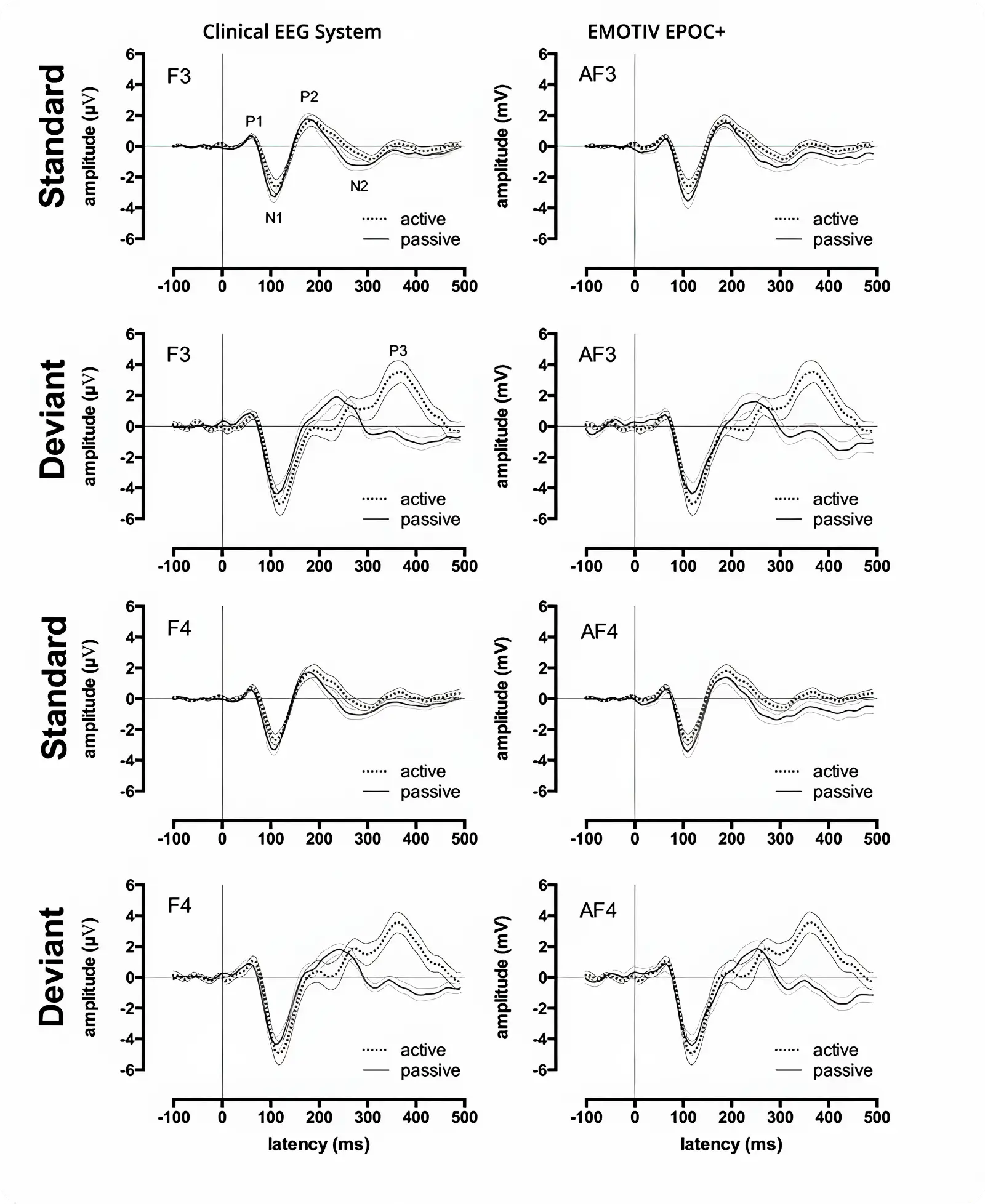
Independent validation has helped demonstrate that Emotiv systems can support research-quality EEG and ERP work. Earlier validation of EPOC found it could be used to index late auditory ERP peaks and mismatch negativity components in children, with results comparable to a research system in that study. A later validation study found that EPOC Flex saline captured data similar to a research-grade EEG system and could measure reliable auditory and visual ERPs, index SSVEP signatures, and detect changes in alpha oscillations.

Suggested Support Links

The Emotiv Signal Pipeline
Turning EEG into usable outputs requires more than sensors alone. Emotiv combines signal acquisition with real-time processing, artifact handling, machine learning, and software layers that help convert raw EEG into outputs that can be used in experiments, applications, and interactive systems.
At the center of this workflow is Cortex, which acts as a translation layer between raw brain data and practical interpretation. Signals are processed, cleaned, and organized so they can be used more effectively across research and applied environments.
EmotivPRO extends this workflow into recording, visualization, and analysis, with support for raw EEG capture, event markers, export options, and real-time streaming through LSL. It also connects with broader research workflows through integrations with tools such as MATLAB, PsychoPy, and EEGLAB, and supports compatible EEG workflows including X-trodes.
Detection Algorithms
Emotiv systems support several categories of real-time output derived from EEG and related signals.
Brain-Computer Interfaces with Emotiv
Brain-computer interfaces translate patterns of neural activity into commands that allow people to interact with software or devices using brain signals.
Emotiv supports this through EEG sensing, machine learning, trained interaction models, and developer access through Cortex APIs and SDKs. This gives researchers and developers a practical way to build applications that respond to mental commands, cognitive state, and related inputs across accessibility tools, interactive media, experimental interfaces, and applied BCI research.
Wearables, AI, and the Future of Brain Sensing
As non-invasive neurotechnology becomes more wearable and less obtrusive, the opportunity to measure brain activity in everyday settings continues to expand.
Lighter, lower-friction form factors can broaden when and where neural data is collected. At the same time, advances in AI are making it possible to model brain signals in more flexible and scalable ways.
Together, these shifts point toward a future in which wearable brain sensing is not only more accessible but also more interpretable across tasks, devices, and environments.
Advancing EEG Foundation Models
Emotiv’s research extends beyond signal capture and real-time interpretation into the next generation of EEG modeling.
This includes work in self-supervised learning, EEG representation learning, and foundation-model approaches designed to improve how neural signals are modeled, generalized, and adapted across devices and use cases.
Recent published work includes EEG2Rep: Enhancing Self-supervised EEG Representation Through Informative Masked Inputs, accepted for presentation at KDD 2024; SpellerSSL: Self-Supervised Learning with P300 Aggregation for Speller BCIs; and EEG-X: Device-Agnostic and Noise-Robust Foundation Model for EEG. Together, these efforts reflect a broader push toward more transferable EEG representations and more robust models for real-world neural data.
Suggested research links
Enhancing Self-supervised EEG Representation Through Informative Masked Inputs
Self-Supervised Learning with P300 Aggregation for Speller BCIs
Device-Agnostic and Noise-Robust Foundation Model for EEG
Built for Research and Applied Development
Emotiv technology is designed to support both controlled investigation and applied development, from raw signal capture and event-marked studies to real-time detections and software integration.
This makes the platform useful across neuroscience, human-computer interaction, cognitive performance, applied BCI, accessibility, product research, and emerging brain-aware applications.






