차별점
무선 EEG. 실제 환경에서의 뇌 측정.
신호에서 Insight로.
Emotiv의 과학적 기반은 신경과학 연구, 뇌-컴퓨터 인터페이스 개발, 인지 성능 분석, 적응형 소프트웨어, 그리고 차세대 뇌 인식형 애플리케이션을 지원합니다.
EEG가 측정하는 것
Emotiv는 비침습적 EEG, 신호 처리, 머신러닝, 개발자용 소프트웨어를 결합해 뇌 활동을 활용 가능한 insight로 전환합니다. 이러한 과학적 기반은 신경과학 연구, 뇌-컴퓨터 인터페이스 개발, 인지 성능 분석, 적응형 소프트웨어, 그리고 차세대 뇌 인식형 애플리케이션을 지원합니다.
뇌 측정 설계가
왜 중요한가
EEG의 가치는 신호 품질만으로 결정되지 않습니다. 뇌 활동을 어떻게 측정하는지, 신호를 어디에서 포착하는지, 그리고 기기 형태가 사용 맥락에 적합한지에도 달려 있습니다.
사용 패턴, 설문조사, 관찰, 성과 지표는 여전히 유용하지만, 인지적 측면은 종종 놓칩니다: 시간에 따른 노력, 과부하, 주의력, 피로, 적응, 그리고 몰입입니다.
공간 해상도 - 전뇌 센싱
뇌는 매우 복잡한 시스템입니다. 대부분의 의식적인 생각과 결정이 이루어지는 영역인 전두피질은 뇌 전체 활동의 10분의 1에도 못 미치는 수준만 수행합니다.
계획, 주변 환경의 모델링, 감각 입력의 해석(현실에 대한 지각까지 포함), 기억의 처리 및 저장, 그리고 기분과 감정을 이끄는 기본 요인들은 뇌 전반에 분포된 여러 기능적 영역에서 일어납니다. 여기에는 뒤쪽의 시각 피질, 양옆의 측두 피질, 정수리 뒤쪽의 두정 피질, 그리고 뇌 깊숙한 곳의 변연계가 포함됩니다. 변연계는 기본적인 기분과 감정, 투쟁/도피 반응, 더 깊은 장기 기억 부호화를 조절하며, 호흡과 심장 박동 같은 기본적인 신체 기능의 조절도 담당합니다.
이러한 더 심층적인 기능의 대부분은 대뇌피질의 여러 부분(EEG 측정으로 접근할 수 있는 바깥층)과 긴밀하게 상호작용하지만, 그 상호작용은 상당히 복잡하고 분산되어 있습니다. 뇌의 실제 활동을 매핑하려면 뇌 표면 전체에 걸쳐 위치한 다양한 피질 구조에서 신호를 측정하는 것이 매우 중요합니다. 전두엽 및 측두엽 영역의 신호만으로는 이러한 신호를 매핑할 수 없습니다. 뇌의 후방에서 오는 신호도 함께 고려하지 않으면 사용자의 전체 정신 상태를 매우 부정확하게만 추정할 수 있습니다.
적절한 커버리지와 전극 구성을 갖추면, 중요한 모든 뇌 영역의 소스 모델을 재구성하고 그 상호작용을 확인할 수 있습니다. 이러한 핵심 신호가 빠진 대체 시스템은 전체 이야기의 절반도 전달하지 못합니다. 일반적으로 이러한 시스템은 의식 수준, 처리의 양과 강도, 그리고 (일부 경우) 전두부 신호에서 좌/우 반구 불균형을 파악하는 데만 제한됩니다. 이런 정보는 특정 맥락에서는 유용하지만, 사용자의 정신 상태를 매우 제한적이고 부정확하게 보여줄 뿐입니다.
연구용 수준의 EEG에서 일상적인 뇌 감지까지
Emotiv의 접근 방식은 프리미엄 연구 시스템부터 소비자 친화적인 브레인웨어에 이르기까지 웨어러블 EEG 폼 팩터의 광범위한 스펙트럼을 아우릅니다.
이 범위가 중요한 이유는 측정 목표에 따라 서로 다른 요구사항이 수반되기 때문입니다. 멀티채널 시스템은 더 넓은 뇌 커버리지를 제공하고 분산된 신경 활동을 더 자세히 보여줄 수 있습니다. 더 가벼운 웨어러블 폼팩터는 사용 장벽을 낮추고, 데이터가 수집되는 시점과 장소를 확장하며, 비침습적 뇌 측정을 일상 환경에서 더욱 실용적으로 만들 수 있습니다.
연구 수준의 깊이와 일상적 사용성 중 하나를 강요하기보다, Emotiv는 하나의 기술 생태계 안에서 두 가지 모두를 지원합니다.

과학에 의해 뒷받침됨
Emotiv 기술은 광범위하고 계속 증가하는 과학 및 응용 연구 분야 전반에서 사용되어 왔습니다. 당사의 시스템은 신경과학, 인간-컴퓨터 상호작용, 인지 수행 능력, 접근성, 그리고 뇌-컴퓨터 인터페이스 개발 분야의 연구를 지원합니다.
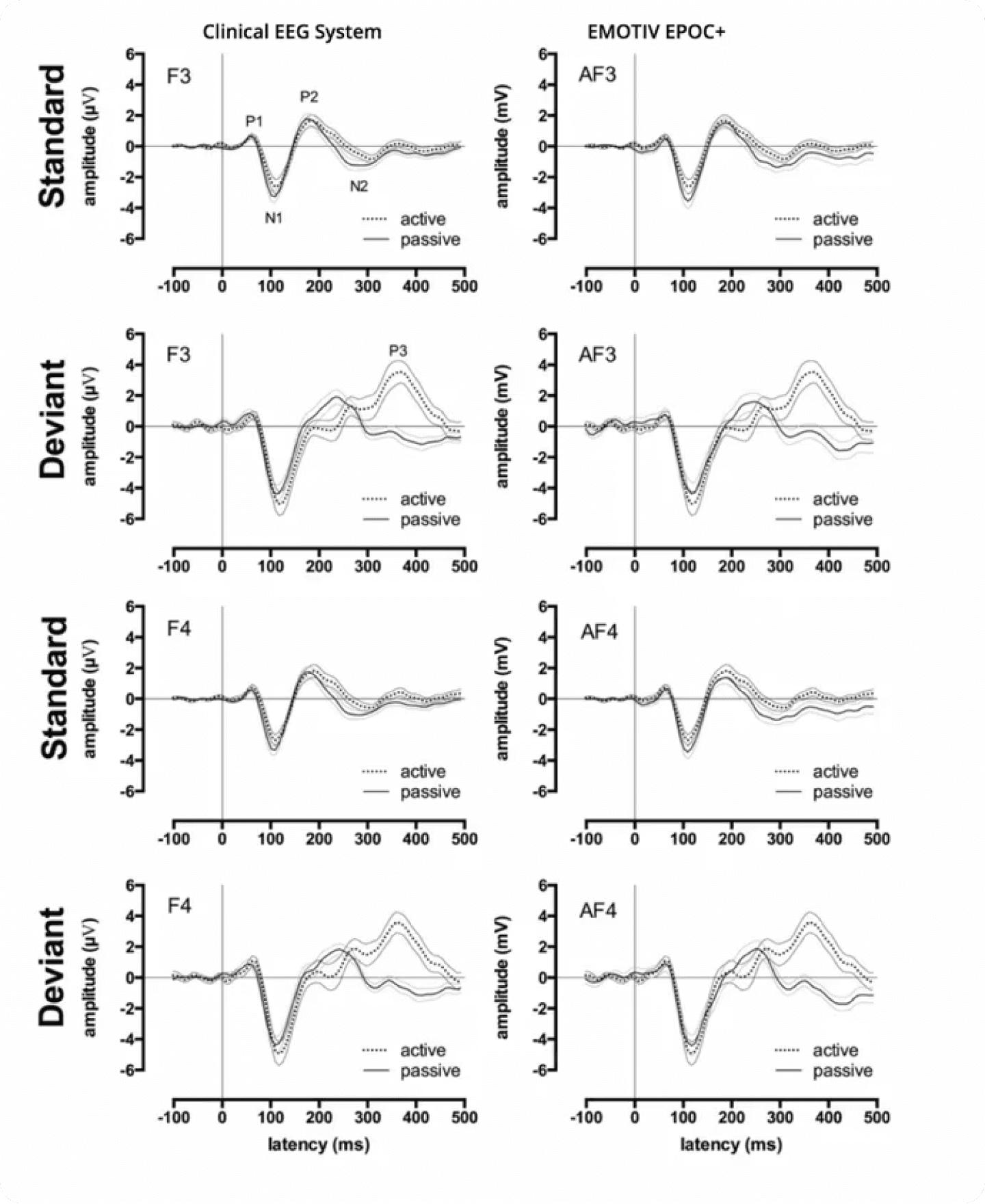
독립적인 검증은 Emotiv 시스템이 연구 품질의 EEG 및 ERP 작업을 지원할 수 있음을 입증하는 데 도움이 되었습니다. EPOC에 대한 초기 검증에서는 해당 시스템이 아동의 후기 청각 ERP 피크와 불일치 음성(mismatch negativity) 구성요소를 지표화하는 데 사용될 수 있었으며, 그 연구에서 연구용 시스템과 비교 가능한 결과를 보였습니다. 이후의 검증 연구에서는 EPOC Flex Saline이 연구 등급 EEG 시스템과 유사한 데이터를 수집했고, 신뢰할 수 있는 청각 및 시각 ERP를 측정하며, SSVEP 시그니처를 지표화하고, 알파 진동의 변화를 감지할 수 있음을 확인했습니다.


Emotiv 신호 파이프라인
EEG를 사용 가능한 출력으로 전환하는 데에는 센서만으로는 부족합니다. Emotiv는 신호 획득, 실시간 처리, 아티팩트 처리, 머신 러닝, 그리고 원시 EEG를 실험, 애플리케이션, 상호작용 시스템에서 사용할 수 있는 출력으로 변환하는 데 도움을 주는 소프트웨어 계층을 결합합니다.
이 워크플로의 중심에는 Cortex가 있으며, 이는 원시 뇌 데이터와 실용적 해석 사이에서 번역 계층 역할을 합니다. 신호는 연구 환경과 응용 환경 전반에서 더 효과적으로 활용될 수 있도록 처리되고, 정제되며, 체계적으로 정리됩니다.
EmotivPRO는 이 워크플로를 기록, 시각화 및 분석까지 확장하며, 원시 EEG 캡처, 이벤트 마커, 내보내기 옵션, 그리고 LSL을 통한 실시간 스트리밍을 지원합니다. 또한 MATLAB, PsychoPy, EEGLAB 같은 도구와의 통합을 통해 더 광범위한 연구 워크플로와도 연결되며, X-trodes를 포함한 호환 가능한 EEG 워크플로를 지원합니다.
Emotiv와 함께하는 뇌-컴퓨터 인터페이스
브레인-컴퓨터 인터페이스는 신경 활동 패턴을 명령으로 변환하여 사람들이 뇌 신호를 사용해 소프트웨어나 장치와 상호작용할 수 있게 합니다.
Emotiv은 EEG 센싱, 머신러닝, 학습된 상호작용 모델, 그리고 Cortex API 및 SDK를 통한 개발자 접근을 통해 이를 지원합니다. 이를 통해 연구자와 개발자는 접근성 도구, 인터랙티브 미디어, 실험적 인터페이스, 그리고 응용 BCI 연구 전반에서 정신 명령, 인지 상태 및 관련 입력에 반응하는 애플리케이션을 구축할 수 있는 실용적인 방법을 얻을 수 있습니다.
웨어러블, AI, 그리고 뇌 센싱의 미래
비침습적 신경기술이 점점 더 웨어러블해지고 덜 거슬리게 됨에 따라, 일상적인 환경에서 뇌 활동을 측정할 수 있는 기회는 계속해서 확대되고 있습니다.
더 가볍고 마찰이 적은 폼 팩터는 신경 데이터가 수집되는 시점과 장소를 더 넓힐 수 있습니다. 동시에 AI의 발전으로 뇌 신호를 더욱 유연하고 확장 가능한 방식으로 모델링하는 것이 가능해지고 있습니다.
이러한 변화는 웨어러블 뇌 센싱이 과제, 기기, 환경 전반에서 더 접근하기 쉬워질 뿐 아니라 더 해석 가능해지는 미래를 함께 가리킵니다.
EEG 파운데이션 모델의 발전
Emotiv의 연구는 신호 캡처와 실시간 해석을 넘어 차세대 EEG 모델링으로 확장됩니다.
여기에는 자기지도 학습, EEG 표현 학습, 그리고 신경 신호가 장치와 사용 사례 전반에서 모델링되고, 일반화되며, 적응되는 방식을 개선하도록 설계된 파운데이션 모델 접근법에 관한 작업이 포함됩니다.
최근 발표된 연구에는 KDD 2024 발표로 채택된 EEG2Rep: 정보성 마스킹 입력을 통한 자기지도 EEG 표현 향상, SpellerSSL: 스펠러 BCI를 위한 P300 집계를 활용한 자기지도 학습, 그리고 EEG-X: EEG를 위한 장치 불가지론적이고 노이즈에 강인한 파운데이션 모델이 포함됩니다. 이러한 노력은 실제 환경의 신경 데이터에 대해 더 전이 가능한 EEG 표현과 더 견고한 모델을 향한 보다 폭넓은 추진을 반영합니다.
추천 연구 링크
정보성 있는 마스킹 입력을 통한 자기지도 EEG 표현 향상
Speller BCIs를 위한 P300 집계를 이용한 자기지도 학습
EEG를 위한 장치 독립적이고 노이즈에 강인한 파운데이션 모델
연구 및 응용 개발을 위해 구축되었습니다
Emotiv 기술은 원시 신호 캡처와 이벤트 마킹 연구부터 실시간 감지 및 소프트웨어 통합에 이르기까지, 통제된 조사와 응용 개발을 모두 지원하도록 설계되었습니다.
이를 통해 이 플랫폼은 신경과학, 인간-컴퓨터 상호작용, 인지 성능, 응용 BCI, 접근성, 제품 연구, 그리고 새롭게 떠오르는 뇌 인식 애플리케이션 전반에서 유용하게 활용됩니다.






